陈小辉 曾刚:中国城市气候金融——测度体系与时空特性
一、引言
气候金融(Climate Finance)是为缓解与适应气候变化而开展的系列投融资活动(Leal et al.,2023;张大永等,2023)。发展气候金融是应对气候变化的必然要求,是构建绿色金融与可持续金融的核心。实证研究表明,气候金融的发展能直接减少碳排放(Lee et al.,2022),改善空气质量(Khan et al.,2022),驱动经济社会低碳转型(Carfora et al.,2017)。自1992年《联合国气候变化框架公约》将资金机制纳入核心议题以来,发展气候金融的需求更加迫切,后续历次缔约方大会均将应对气候变化的资金安排作为重要议题。在2009年哥本哈根会议(COP15)上,发达国家首次承诺每年向发展中国家提供气候资金;2015年《巴黎协定》(COP21)进一步将此确立为发达国家的持续性义务,并强调动员多源资金;后续的格拉斯哥会议(COP26,2021)与巴库会议(COP29,2024)则聚焦于资金承诺的落实与升级,其中COP29就新集体量化资金目标(NCQG)等关键议题达成“巴库气候团结契约”。
中国是《联合国气候变化框架公约》首批缔约方之一,也是气候金融的积极践行者。相关政策演进遵循从宏观信贷引导走向系统化投融资试点建设的路径。2008年《中国应对气候变化的政策与行动》侧重于完善信贷政策以应对气候变化。2012年《“十二五”控制温室气体排放工作方案》强调优化信贷结构服务低碳产业。2013年《国家适应气候变化战略》强调推动气候金融市场建设,鼓励开发气候相关服务产品。2016年《“十三五”控制温室气体排放工作安排》提出推动开展气候投融资试点。2020年《关于促进应对气候变化投融资的指导意见》强调加快构建气候投融资政策体系,要求到2022年气候投融资地方试点启动并初见成效。
在发达国家向发展中国家提供气候资金的背景下,气候政策倡议组织(Climate Policy Initiative,CPI)等机构对资金流动进行了持续跟踪监测。部分国外研究以此为切入点,将国际气候资金区分为用于减缓和用于适应气候变化两种类型,并以此为关键变量,实证检验其对资金接受国气候变化适应能力与环境绩效的影响(Carfora et al.,2017;Leal et al.,2023;Lee et al.,2022)。另有国外文献致力于开发国家层面的气候金融政策指数,为比较研究提供量化工具(D’Orazio,2023;D’Orazio and Thole,2022)。国内对气候金融的研究起步较晚,现有文献主要集中于以下方面:一是梳理与总结该领域的研究进展(陈国进等,2021;张大永等,2023);二是探讨气候金融的基本内涵(李鑫等,2023)及其学科属性(张大永等,2023);三是分析中国在发展气候金融过程中面临的主要挑战(喆儒等,2025)。自气候投融资试点启动以来,总结试点经验并提出推进工作的政策建议已成为当前国内研究的重点方向(王芬芬等,2024;孙轶颋,2023)。
总体而言,气候金融已成为国内外学术研究的热点领域。现有国外文献侧重于基于国际气候资金的定量研究,相关实践与治理经验对我国应对气候变化有借鉴意义(山东省国资委,2023;王遥等,2019)。国内现有关于气候金融的研究仍处于定性探讨阶段,尤其缺乏基于区域(如城市)尺度的定量分析。应对气候变化是一项长期性系统工程(中金公司课题组和王汉锋,2022),加强对气候金融的系统性研究,明确其高质量发展的可行路径,厘清其对经济社会发展的潜在影响具有重要意义。本文试图构建一套能够刻画中国区域特征与发展趋势的气候金融发展指数,为气候金融领域研究提供一套工具性的基础数据。
二、气候金融的基本逻辑
气候金融的发展有赖于金融机构开展的气候金融创新活动。根据区域创新环境理论,此类创新离不开外部发展环境的支持(张建伟等,2016)。其中,政策制度是塑造创新方向的关键框架,媒体关注能推动政策的落实与社会共识的形成,而现有技术创新为金融产品与服务创新提供了技术可行性。因此,政策制度、媒体关注与现有技术创新共同构成了影响气候金融创新的核心发展环境(Chen et al.,2022c;谢瑾岚和马美英,2010)。基于此,本文将发展环境作为气候金融的首要构成维度。
根据公司金融理论,投资与融资是企业的两项基本金融活动(Jensen and Smith,1984)。财政部会同证监会、审计署、原银监会、原保监会制定的《企业内部控制应用指引第6号》也将投资和融资作为企业的基本资金活动。《关于促进应对气候变化投融资的指导意见》同样将投融资界定为企业的重要资金活动,气候投资(为减缓和适应气候变化而开展的投资活动)与气候融资(为上述活动筹措资金的活动)是政府发展气候金融的关键抓手。因此,本文将气候投融资作为气候金融的主体构成部分。
气候金融的发展具有显著的政策驱动特征。政策反馈理论指出,政策的制定与演进路径不仅受当前观念影响,也被政策的历史绩效与反馈效应塑造(陈济冬等,2024;Laenen et al.,2025)。政策成效是评价政策驱动型经济活动的重要指标,并构成该活动不可分割的组成部分(谢春和李健,2011;杨韡韡和李平,2011)。气候金融在政策驱动下发展,其产生的减缓与适应气候变化成效,也会逆向影响后续政策的制定与资源的投入,形成反馈循环。因此,本文将气候金融成效作为气候金融的第三个核心维度。
综上,本文从发展环境、气候投融资、气候金融成效三个维度构建气候金融的基本逻辑框架,如图1所示。

图1 气候金融的基本逻辑
(一)发展环境
发展环境是气候金融创新的重要支撑,尤其体现在政策、监管与舆论层面。我国的气候政策由生态环境部门主导制定与实施,其出台的各类气候政策及相关环保处罚机制,共同构成了影响气候金融发展的关键制度环境。气候政策以减缓和适应气候变化为目标,对市场主体形成正向激励:要求企业采取应对气候变化的实际行动,从而派生出相应的融资需求,从需求侧拉动气候金融创新。例如,中国石化中原油田以碟式太阳能集热系统替代传统天然气加热炉的低碳改造项目,产生的融资需求即属于气候融资需求;金融机构为满足此类需求而设计的金融产品与服务,构成气候金融创新。同时,媒体关注在气候金融发展环境中扮演着催化角色。研究表明,媒体关注能够强化气候政策的执行力度,放大政策激励效果,并提升社会公众对气候变化的认知与环保意识(Kaur and Chahal,2018),从而促进公众参与气候金融活动。对于实体企业,积极的媒体关注还能带来显著的品牌效应(张梓靖等,2023),激励企业为塑造绿色形象而主动采取减缓和适应气候变化的措施,进而产生新的融资需求,间接拉动气候金融的创新。此外,现有技术创新有利于实体企业节省资源、减少碳排放,刺激气候投融资需求,带动气候金融创新。因此,政策环境、媒体关注和现有技术创新共同构成了驱动气候金融创新的重要外部条件。
(二)气候投融资
本文的气候投资包括地方政府的环境保护投资、气候友好型企业为缓解和适应气候变化的投资、社会公众(尤其是企业家群体)对气候友好型企业的股权投资、商业银行的气候贷款。气候融资是气候友好型企业在减缓和适应气候变化过程中解决资金约束的重要途径(Buchner et al.,2019),主要包括股权融资与债权融资,前者主要是气候友好型企业从各类股东处融入的股权资金,后者主要是气候友好型企业从债权人处融入的债务资金。
为刻画资金整体规模,并突显社会公众与商业银行的主动性,本文将社会公众的股权投资和商业银行的气候贷款纳入气候投资指标体系。同时,企业投资期限通常长于银行贷款而短于股权融资,将三者并列考察,可以捕捉其在期限与性质上的差异。这种处理可能会在统计上造成部分重叠,后文将通过基于相关系数的权重计算方法予以缓解。
(三)气候金融成效
在缓解气候变化方面,发展气候金融的成效主要指二氧化碳、二氧化硫及工业粉尘等大气污染物排放量的减少(廖艳霞等,2024;刘园园,2023;Lee et al.,2022;钱立华等,2019),以及由此带来的空气质量改善(姜英兵和张伟杰,2023)。减少大气污染物排放是地方政府发展气候金融的核心政策目标之一。例如,成都市的气候友好型企业在获得气候贷款后,必须完成减碳任务。在实践中,为激励企业实现减排目标,金融机构会设计相应的激励约束机制。例如,商业银行将向气候友好型企业提供的气候贷款利率与其减碳任务完成情况挂钩,对达标情况良好的企业给予利率优惠,反之则提高利率,以此强化金融工具对环境绩效的正向引导。
在适应气候变化方面,其核心在于采取前瞻性行动,应对已经发生或可能发生的气候变化及其影响(李国庆等,2023)。在这一过程中,地方政府通过升级改造基础设施和建设海绵城市等机制以提升城市的气候韧性。实体企业则主动关注气候风险对自身经营模式和未来发展的长期影响,合理做出应对气候风险的财务决策,积极提升适应气候变化的韧性(顾乃康等,2025)。气候金融为这些减缓与适应行动提供必要的资金支持,助力减少大气污染物排放并提升气候韧性。
三、气候金融的测度原理
基于数据可获得性,本部分阐述气候金融发展指数的指标体系构建、指标权重确定、指数计算以及相应调整处理的核心思路。
(一)指标体系
气候金融发展指数的指标体系框架如图2所示,该指数由三个一级指数构成,分别为发展环境指数、气候投融资指数与气候金融成效指数。

图2气候金融发展指数的基本框架
1. 发展环境
发展环境包括政策制度、媒体关注与现有技术创新三个层面。本文在“发展环境”下设置“政策制度”和“支持环境”两个二级指标,其中“支持环境”指标包含媒体关注和现有技术创新。
“政策制度”指标从“气候政策数量”“环保处罚次数”和“环保处罚金额”三个维度进行测度。气候政策体系的完善与政策工具的丰富,有助于推动气候金融创新。课题组调研发现,多数气候投融资试点地区期待生态环境部出台更多支持性政策。因此,本文将“气候政策数量”设定为正向指标。本文基于《关于开展气候投融资试点工作的通知》和《环境保护部传达国务院应对气候变化工作会议精神》等文件中提取的72个关键词,如绿色发展、清洁低碳转型、节能降碳、绿色信贷等,从白鹿智库爬取各城市历年气候政策数量的累计值,用以表征该指标。环保处罚会对市场主体带来压力。依据“挑战—威胁”理论,金融企业面对处罚压力会进行需求和资源评估,若应对压力所需资源在其所占有资源以内,压力被视为“挑战”,可促进金融创新,反之则被视为“威胁”,可抑制金融创新(张红伟等,2020)。因此,本文将“环保处罚次数”和“环保处罚金额”设为具有倒“U”影响的指标,并从企业预警通环境违规数据库中提取各城市企业各年度被处罚次数和金额进行表征。
媒体关注有助于推动气候金融创新,从而促进气候金融发展。因此,“媒体关注热情”为正向指标。本文从习近平总书记在《生物多样性公约》第十五次缔约方大会领导人峰会上的讲话,以及《关于完整准确全面贯彻新发展理念做好碳达峰碳中和工作的意见》《2030年前碳达峰行动方案》《关于促进应对气候变化投融资的指导意见》《中国应对气候变化的政策与行动2022年度报告》等文件中提取67个关键词,如气候韧性、海绵城市、节能降碳、煤炭消费总量控制、碳核算等,以“城市+关键词”的方式,从中国日报网获取词频数据,据此测度媒体关注热情。“现有技术创新水平”同样是正向指标。专利申请数量是衡量技术创新水平的重要依据,本文以城市年度专利申请总数减去气候友好型专利申请数,表征各城市现有技术创新水平。需要说明的是,气候友好型技术创新已被纳入“气候金融成效”维度,故将其从专利申请总数中剔除。综上,一级指数“发展环境”的指标体系如表1所示。
表1 中国气候金融发展指数指标体系:发展环境

注:括号中数字为指标权重,具体生成过程详见后文。SDCDT=上海大智慧财汇数据科技有限公司(企业预警通),SIPBIT=苏州工业园区百纳谱信息科技有限公司(智慧芽)。下表同。
2. 气候投融资
首先,气候投资依据主体差异可分为政府投资、企业投资、商业银行信贷投资和社会投资四类,各类别通过相应指标予以测算。
政府投资。政府投资主要指地方政府在环保领域的投入,该投入不仅直接助力气候变化的缓解与适应,同时向市场释放积极政策信号,带动多元市场主体参与。作为正向指标,政府投资规模扩大对气候金融发展水平有促进作用。基于数据可得性,本文采用地方政府的环保财政支出及其占财政总支出的比重来测度“政府投资”。环保财政支出规模越大,在财政支出总额中的占比越高,越有利于促进气候金融发展。
企业投资。实体企业对内投资主要是固定资产等生产性资产投资,实践中既包括购置固定资产等生产性资产进行的正向对内投资,也包括处置固定资产形成的负向对内投资(高杰英等,2021)。对外投资指向子公司的投资,同样可分为正向(取得子公司)与负向(处置子公司)两类。此外,研发投资是企业维持核心竞争力和持续经营能力的关键。本文从对内投资(正向和负向)、对外投资(正向和负向)以及研发投资(金额及其占比)三个细项指标测度气候友好型企业的“企业投资”。其中,正向对内投资、正向对外投资、研发投资金额及研发投资占企业市值的比重为正向指标,其数值提升反映气候友好型企业投资力度增强,有利于应对气候变化;负向对内投资与负向对外投资则为负向指标,其数值增加表明企业收缩投资,不利于气候缓解与适应。考虑到数据可获得性和上市公司的代表性,本文以上市气候友好型企业的投资表征企业投资。
目前,国内外对气候友好型企业尚无统一定义,本文将气候友好型企业界定为业务涉及气候友好型技术的企业。其中,气候友好型技术涵盖联合专利分类体系(CPC)中减缓和适应气候变化的技术,以及《中国应对气候变化科技专项行动》《国家重点推广的低碳技术目录(第二批)》《国家重点节能低碳技术推广目录(2017年本低碳部分)》《国家重点节能低碳技术推广目录》《绿色技术推广目录(2020年)》等政策文件提及的相关技术。基于数据可得性和上市公司代表性,本文通过经营范围,逐一识别其生产是否采用了气候友好型技术或经营范围是否包含了气候友好型技术,进而筛选出气候友好型上市企业,并加总形成各城市逐年的企业投资数据。
商业银行信贷投资。气候贷款投放规模增加反映商业银行气候金融创新的成效好以及气候金融发展水平提升。因此,“商业银行信贷投资”属于正向指标。由于气候贷款专项统计机制尚不健全,商业银行公开披露有限,考虑到气候贷款在绿色贷款中占比较高(钱立华等,2019),本文以绿色贷款作为气候贷款的代理变量。针对分城市数据缺失的问题,本文手工收集了104家代表性商业银行2008—2024年的绿色贷款数据。对于跨城市投放绿色贷款的商业银行,考虑到绿色贷款通常需要通过网点进行贷前调查、贷中辅助审查和贷后管理,本文按以下原则进行城市层面分解:对于跨区域经营的商业银行,依据各城市内该行网点数量占其网点总数的比例,对绿色贷款进行加权分配,以反映其在该城市的信贷投放情况。
社会投资。企业和个人发起设立气候友好型企业是一种重要的气候投资形式,即社会投资。该指标同样具有正向属性。理想测度是以企业和个人对气候友好型企业的实际出资(即实收资本)为基准,但我国《公司法》采用登记认缴制,未上市企业的实收资本数据难以获取,学界通常以注册资本作为替代变量(柏培文和喻理,2021;马述忠等,2025;余典范等,2023)。同时,企业和个人发起设立的气候友好型企业包括上市和非上市两类,后者数量较多,无法逐一识别。因此,本文基于前文提及的气候友好型技术,构造“气体减排技术”“储能技术”“空气净化技术”等553个关键词,利用企业预警通数据库,统计经营范围包含这些关键词的上市和非上市气候友好型企业的注册资本总额,以此表征社会投资规模。
其次,基于数据可获得性和上市公司的代表性,本文通过汇总各城市、各年度气候友好型上市企业的股权融资和债权融资规模,对“气候融资”进行测度。具体而言,企业现金流量表采用收付实现制而非权责发生制,其数据更能体现企业当年融入资金的实际情况。为此,本文采用气候友好型企业吸收投资收到的现金及其占企业市值的比重衡量股权融资,二者均为正向指标。债权融资进一步区分为借款融资与债券融资,借款融资以气候友好型企业取得借款收到的现金及其占市值的比重测度,债券融资以气候友好型企业发行债券收到的现金及其占市值的比重来测度,上述四项均为正向指标。综上,构成一级指数“气候投融资”的具体测度指标,如表2所示。
表2 中国气候金融发展指数指标体系:气候投融资



注:CCSY=《中国城市统计年鉴》,WDB=Wind数据库。下表同。
3. 气候金融成效
本文构建“缓解气候变化”和“适应气候变化”两个指标,对气候金融的实施成效进行测度。考虑数据可得性,“缓解气候变化”采用碳排放量、二氧化硫排放量、工业烟粉尘排放量和市区空气优良率四类指标予以衡量。前三者为负向指标,其数值越高,表明缓解气候变化的成效越差;后者为正向指标,其数值越高,代表缓解成效越好。
绿地具有改善局部微气候、缓解城市热岛效应、调节气温等作用,有助于应对高温等气候影响(李和平等,2025),是衡量城市气候适应能力的重要指标(王尧和田永英,2020)。因此,本文采用人均绿地面积表征适应气候变化成效。此外,气候友好型技术创新是企业为适应气候变化做出的重要努力。为平衡指标数量并兼顾数据可获得性,本文进一步将气候友好型企业数量与气候友好型专利申请数量纳入适应气候变化成效的测度体系。上述三项指标均为正向指标,其数值越大,表明气候金融在提升城市适应气候变化能力方面的成效或潜力越大。综上,“气候金融成效”的具体测度指标如表3所示。
表3 中国气候金融发展指数指标体系:气候金融成效

注:中国碳核算数据库(CEADs)的碳排放量更新至2017年,因此本文基于中国经济金融研究数据库(CSMAR)披露的省级碳排放量,按照城市GDP占所在省GDP比重进行分解,得到2018—2023年各城市的碳排放量。此外,本文基于移动平均插值法得到2024年的碳排放量、二氧化硫排放量、工业烟粉尘排放量和人均绿地面积。
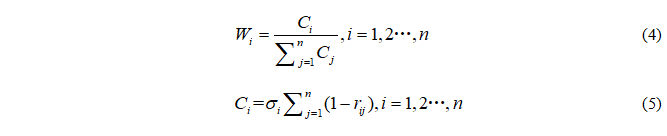
(二)指标权重与指数计算
指标权重的确定方法分为主观赋权法和客观赋权法两类(Chen et al.,2022a,2022b;陈小辉和张红伟,2021;许涤龙和陈双莲,2015;张红伟等,2023)。前者过于依赖专家经验,具有较强主观性与随意性;后者能有效避免人为因素导致的偏差,因而在学术界得到广泛采用。在客观赋权法中,常用的方法包括熵权法、标准离差法以及基于指标相关性与冲突性的权重赋权法(Criteria Importance Through Inter-criteria Correlation,即CRITIC法)。熵权法、标准离差法和CRITIC法的基本思路较为相似,均依据指标变异程度确定权重。然而,CRITIC法不仅考虑了指标的变异性,还考虑了各指标之间的冲突性,因而所确定的权重更为精准(许涤龙和陈双莲,2015)。
本研究采用CRITIC法确定指标权重,具体步骤如下:
第一步,构建基础数据集。统计各城市最底层指标(如表2中的“研发支出金额”)的数值,作为后续计算的基础。
第二步,指标标准化处理。根据指标性质分类进行标准化和去量纲处理,正向指标按式(1)、负向指标按式(2)、倒“U”型指标按式(3)处理。

第三步,计算指标权重。基于CRITIC法生成各指标权重,第i个指标的权重计算公式如下:


第四步,计算一级指标。将标准化后的指标数值与对应权重相乘并逐层累加,得到各城市“发展环境”“气候投融资”和“气候金融成效”三个一级指标值。
第五步,确定一级指标权重。首先对城市层面的“发展环境”和“气候金融成效”进行调整。其次以城市GDP为权重,加权汇总得到全国层面的三个一级指标值。基于全国层面数据,再次运用式(4)(5)计算三个一级指标的权重。
第六步,计算气候金融发展指数。将城市层面调整后的“发展环境”、原值“气候投融资”和调整后的“气候金融成效”分别与权重相乘并累加,得到各城市各年度的气候金融发展指数。
第七步,指数化处理。先将2008年各城市GDP分别除以“各城市GDP的总和”得到“城市权重”,再将2008年各城市的气候金融发展指数分别乘以“城市权重”并加总得到“指数化基数”。在此基础上,将各城市各年度的气候金融发展指数、发展环境指数(调整后)、气候投融资指数和气候金融成效指数(调整后)分别除以“指数化基数”再乘以100,得到各城市各年度的标准化指数序列。
(三)调整处理
1. 对“发展环境”进行调整

2. 对“气候金融成效”进行调整

四、气候金融的时空特性
基于前述测度方法并结合数据可得性,本文构建了2008—2024年中国内地265个地级以上城市(含地级市、自治州和盟等,下文统称为城市)的气候金融发展指数。该套指数包括经指数化处理后的气候金融发展指数、发展环境指数、气候投融资指数和气候金融成效指数。以下参照郭峰等(2020)的研究方法,对我国城市气候金融的时空特性进行分析。
(一)时间特性
2008—2024年间,中国内地265个城市的气候金融发展指数按GDP加权后的加权值、均值和中位数如图3所示。第一,中国城市气候金融发展呈现稳步上升趋势。气候金融发展指数的加权值由2008年的100增至2024年的191,年复合增长率为4.13%。同期,均值由95增长至137,年复合增长率为2.31%;中位数由91增长至124,年均复合增长率为1.95%。第二,2015年习近平总书记在党的十八届五中全会上提出创新、协调、绿色、开放、共享的新发展理念。此后,中国的城市气候金融发展呈现明显的跨越式增长。本文采用t检验对2015年前后气候金融发展指数同比增速的差异进行了统计检验。结果显示,在1%显著性水平下,2015年之后的同比增速显著高于2015年前。第三,气候投融资试点政策实施后,气候金融发展迈上新台阶。2022年试点启动后,加权值的年复合增长率由试点前的3.98%提升至5.38%,增幅为1.40个百分点;均值从2.20%提升至3.46%,增幅达1.26个百分点;中位数由1.95%提升至2.51%,增幅为0.56个百分点。为评估试点政策效果,本文采用t检验对试点前后气候金融发展水平及同比增速进行了比较分析。结果显示,在1%的显著性水平下,试点后的发展水平显著高于试点前;在5%的显著性水平下,试点后的同比增速显著高于试点前,在一定程度上表明试点政策具有明显的示范与拉动效应。

图3 2008—2024年中国气候金融发展趋势
图4展示了2015年以来“发展环境”“气候投融资”“气候金融成效”三个一级指标的发展趋势。其中,气候金融成效指数一直处于高位;气候投融资指数增速最快,其主体地位逐步凸显。以265个城市2015年以来的数据为样本进行t检验。结果显示,在1%的显著性水平下,发展环境指数的均值显著低于气候投融资与气候金融成效,且气候投融资指数的均值显著低于气候金融成效。

图4 2015年以来中国气候金融指数三个一级指数(加权值)的发展趋势
(二)空间特性
1. 空间重心移动
在传统金融业务领域,东部城市和中西部城市之间发展不平衡的格局已相对固化,进行结构性变革的难度较大。为改变传统金融业务的不平衡格局,中西部城市可能以气候金融为突破口,在新兴金融业务上与东部城市展开竞争。那么,各城市的博弈是否已实现动态均衡,从而达到相对稳定状态?在经济学意义上,空间重心是空间内存在的某点,在该点上各方的经济力量维持相对均衡(涂建军等,2018)。其移动轨迹能有效研判各方博弈的过程与结果。若空间重心经过长期且显著的方向性摆动后,最终收敛于一个小范围内波动,则可认为各方博弈已实现一种动态均衡。
为此,本文借助重心模型,利用ArcGIS空间重心工具测算了2008—2024年中国城市气候金融发展指数的空间重心及其移动轨迹(图5)。结果显示,中国气候金融发展指数的空间重心移动轨迹可划分为三个阶段:一是初期南移阶段(2008—2011年),空间重心从起始位置持续向东南方向移动,于2011年抵达最南端。二是中期摇摆阶段(2012—2022年),空间重心反复摆动,于2022年抵达最东端。三是近期西移阶段(2022—2024年),空间重心自最东端向西回调,至2024年已大致移动到研究初期相近的区域。总体看,中国气候金融发展指数的空间重心在河南省内驻马店市附近小幅移动。这表明各城市就气候金融展开的博弈已总体实现了动态均衡,处于相对稳定状态。这与中国经济空间重心(2015年在河南省信阳市)、第三产业空间重心(1993~2016年在河南驻马店市)和数字经济空间重心(2011年后稳定在河南省平顶山市和驻马店市交界区域)的移动轨迹和收敛情况相似(刘开迪等,2019;涂建军等,2018;吴志军等,2025)。
气候金融的空间重心收敛于河南省驻马店市的含义是:在全国范围内,若将各城市的气候金融发展指数视为地理空间上不同“重量”的点,那么驻马店市是所有点在空间分布上的平衡点。这并不代表驻马店市是全国气候金融最发达的城市,而是表示气候金融的整体空间格局呈现“向中部移动”的均衡化态势。

图5 2008—2024年中国气候金融的空间重心及其转移路径
2. 空间集聚性
生态环境禀赋较好的城市,在生态保护与生态旅游等气候友好型项目的开发上具有天然优势,也更易获得商业银行的气候融资支持,因而其气候金融发展水平普遍较高。受自然条件趋同与城市群战略推动的双重影响,气候金融发展水平较高的城市往往对周边地区产生辐射与带动效应,进而可能形成空间上的集聚格局。
为验证这一空间集聚特征,本文采用全局莫兰指数(Global Moran’s I)进行检验。该指数取值介于-1~1,大于0表示存在空间正相关,即呈现集聚特征(高值与高值相邻、低值与低值相邻),数值越高则集聚程度越强。本文参照黄嘉信等(2025)、李可欣等(2025)的方法,构建0-1邻接矩阵作为空间权重矩阵进行计算。
检验结果如表4所示,2008—2024年,全局莫兰指数始终在1%的水平上显著为正,说明我国城市气候金融发展长期存在显著的空间正相关性,呈现“高-高”与“低-低”集聚并存的空间格局。然而,该指数整体呈下降趋势,尤其在2020年以后持续处于较低水平,反映出气候金融发展的空间集聚强度正在逐步减弱,空间分布趋于分散化或均匀化。
表4 2008—2024年全局莫兰指数检验结果

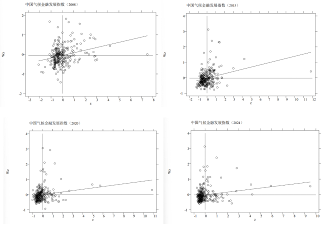
图6 2008、2015、2020和2024年中国气候金融发展指数局部莫兰指数散点图
注:横轴和纵轴分别代表(标准化后)的本城市和周边城市平均的气候金融发展水平。
图6展示了2008、2015、2020及2024年四个代表性年份气候金融发展指数的局部莫兰指数散点图,分析气候金融发展的空间关联模式。结果显示,2008年各城市在四个象限的分布比较均匀,尚未形成明显的空间集聚模式。随着国家对气候金融的日渐重视,各城市开始着力推动气候金融发展。少数在资源、技术或区位上占优的城市,其气候金融发展水平高并带动了周边城市发展,在第一象限形成“高-高”集聚;同时,大多数基础相对薄弱的城市持续向第三象限集中,呈现显著的“低-低”集聚。这种“低-低”集聚的现象,可能是这些城市在技术能力与政策响应效率等方面有待进一步提升。以上结果与全局莫兰指数的结论相吻合,均表明中国城市气候金融发展存在显著的正向空间自相关性。
3.空间异质性
为分析气候投融资试点政策效应的空间异质性,本文进行城市组间比较分析。将包含国家级气候投融资试点区域的城市统一界定为试点城市,以便与非试点城市进行对比分析。图7呈现了试点与非试点城市气候金融发展指数的加权均值、均值及中位数,均呈整体上升趋势,但试点城市的发展水平在各统计量上均持续高于非试点城市。为验证这一差异的统计显著性,本文进行t检验。结果显示,试点城市的气候金融发展水平不仅在1%水平上显著高于非试点城市,且其在被纳入试点后的发展水平也在1%水平上显著高于试点前。

图7 试点与非试点城市的气候金融发展指数
五、结语
本文在阐释气候金融核心逻辑的基础上,参考国内外相关文献,构建并编制了2008—2024年中国内地265个地级以上城市(含地级市、自治州、盟等)的气候金融发展指数。基于此指数,本文初步分析了中国城市气候金融的时空演变特征,主要结论如下:第一,中国城市气候金融水平在观测期内呈持续上升态势。2015年新发展理念提出后,中国城市气候金融发展速度显著提升,呈现跨越式增长;其中,气候投融资发展是指数增长的主要驱动力。2022年试点工作启动后,中国城市气候金融整体发展水平迈上新台阶。第二,中国城市气候金融的空间重心移动方向相对稳定。全局与局部空间分析均证实其存在空间正相关性,但这种相关性随时间呈减弱趋势。第三,试点城市的平均气候金融发展水平显著高于非试点城市,且试点城市在获批试点后的发展水平也显著高于试点前,初步揭示了试点政策与更高发展水平之间的统计关联。

